This article dives into the concept of Total Task Chaining in Applied Behavior Analysis (ABA) therapy, especially for children with autism. Total Task Chaining is a helpful instructional strategy that teaches complex skills by involving learners in the whole sequence of activities. This approach not only promotes independence but also helps kids master their skills! Research shows that it can lead to better learning outcomes and increased motivation among children.
As parents, you might wonder how this method can make a difference in your child's learning journey. By engaging them fully in the tasks, you're not just teaching them skills; you're also building their confidence! Let’s explore this together and see how Total Task Chaining can be a game-changer for your little one. We’re here to help you every step of the way!
Total task chaining has emerged as a transformative approach within Applied Behavior Analysis (ABA), especially for children with autism. This method allows learners to engage with entire activities in a structured way, fostering independence and enhancing both skill acquisition and confidence. However, as practitioners and families explore the nuances of total task chaining, they might face challenges that call for thoughtful strategies and adaptations.
So, what are the key insights that can help maximize the effectiveness of this powerful technique? In this article, we’ll delve into the essential components of total task chaining. We aim to offer valuable perspectives and practical guidance to empower both caregivers and practitioners on this impactful journey. Let’s explore this together!
Rori Care - ABA Therapy is leading the way with complete activity sequencing methods, making the educational journey for kids with autism much more enjoyable. This approach helps children tackle complex challenges in a structured manner, breaking them down into manageable steps that promote independence and skill development. Research shows that complete activity linking is particularly helpful for learners with some foundational abilities, allowing them to complete entire activities in one go, which boosts their sense of accomplishment and motivation. Plus, early ABA intervention taps into neuroplasticity during crucial developmental stages, leading to remarkable improvements in learning.
By incorporating total task chaining ABA definition into personalized treatment plans, our skilled behavior analysts at Rori Care, guided by our clinical leadership team, empower clinicians and families to achieve meaningful behavioral progress. Focusing on completing activities from start to finish not only helps young people manage their daily routines more effectively but also nurtures essential skills that can be applied in various situations. This method simplifies the learning process, easing feelings of being overwhelmed and enhancing the child's confidence. As Jamie Leigh Bassos wisely states, "Total activity linking is most effective for assignments that include a predictable, organized sequence and when the young one is prepared to engage in a complete activity with some initial assistance."
Implementing total task chaining ABA definition in autism care requires careful consideration of each child's unique abilities and needs. At Rori Care, our clinicians diligently collect data to monitor progress and adapt strategies, ensuring that every child receives the support they need for optimal growth. This involves setting clear, measurable goals and utilizing evidence-based strategies tailored to individual requirements. As Emily Sapp emphasizes, "The young one receives reinforcement for finishing the activity with all the links in the chain." This strong illustrates how data guides the application of these techniques. Consequently, families can witness the transformative effects of these methods on their child's development, reinforcing the belief that every child has the potential to thrive. Let's explore this journey together!

The total task chaining ABA definition describes a friendly instructional strategy within Applied Behavior Analysis (ABA) that teaches complex skills as complete actions. Imagine this: each session, learners engage with all stages of an activity, allowing them to practice the entire sequence. By tackling the total task chaining ABA definition, they gain a deeper understanding of how each step connects, which helps build their confidence and competence. This method not only boosts involvement but also , making it especially helpful for individuals with autism who might find multi-step tasks a bit tricky.
Now, let’s talk about the role of a qualified behavior analyst. They’re essential in this process, designing personalized plans that incorporate measurable goals and evidence-based strategies tailored to each youth's unique needs. This kind of support makes it easier to track progress and emphasizes the importance of ongoing evaluation and modification. We’re here to help you every step of the way! If you have any thoughts or experiences to share, feel free to comment below. Let’s explore this together!

offers fantastic benefits that can really enhance learning for children with Autism Spectrum Disorder (ASD). Let’s dive into some key advantages!
In summary, the total task chaining aba definition is a vital approach in ABA therapy that enhances skill acquisition while fostering engagement and independence in children with ASD. The active involvement of caregivers, equipped with knowledge and strategies, significantly boosts the effectiveness of this method. Let’s explore this together and see how it can make a difference for your family!

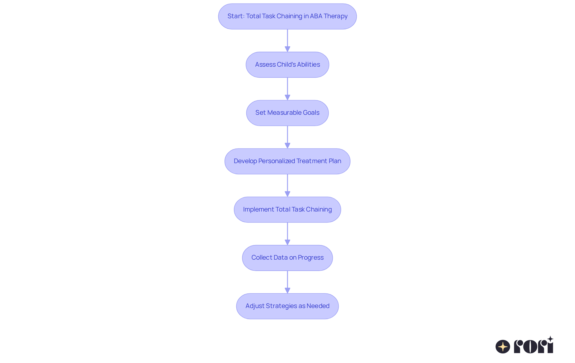
To implement total task chaining effectively, let's follow these friendly steps together:
By following these steps, you can efficiently guide your children in mastering essential life skills through the total task chaining aba definition, helping them build independence and confidence in their abilities. Let’s explore this together!

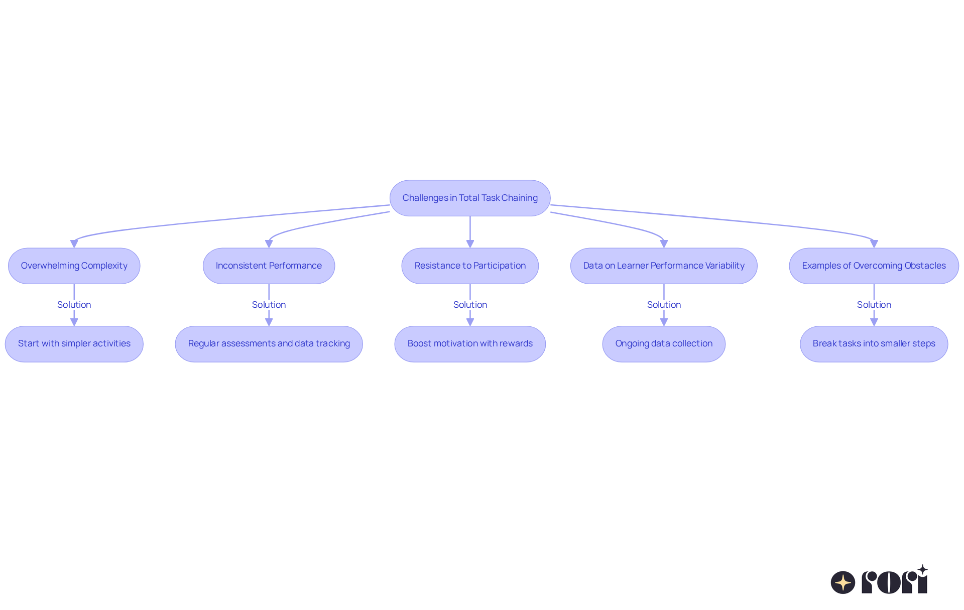
While the is a powerful method in ABA therapy, it’s not without its challenges. Let’s explore some common hurdles that practitioners encounter and how we can tackle them together:
By recognizing these obstacles and employing focused strategies, we can enhance the effectiveness of total task chaining ABA definition in our processes. Ultimately, this promotes greater independence and proficiency in children with autism while equipping caregivers with the knowledge and resources they need to support their child’s behavioral goals. We’re here to help you every step of the way!

To personalize total task chaining, let’s consider a few friendly strategies:
By implementing these strategies, you can actively aid in your child’s development and independence. This ensures a more effective experience in line with the total task chaining ABA definition. Let’s explore this together!

Many case studies highlight how total task chaining in ABA therapy can truly transform children's independence. Rori Care's dedicated clinical leadership team plays a vital role in this success:
These examples really showcase how can be in fostering autonomy and skill generalization. These are crucial elements for individuals with Autism Spectrum Disorder (ASD) to thrive in various settings. Rori Care's clinical leadership team is committed to neurodiversity and empowering caregivers through ABA principles, which is key to these success stories.
Actionable Tip: Parents can encourage their kids to practice activities using total activity sequencing by breaking tasks into manageable steps and celebrating small achievements along the way. This can really help build their confidence! Let's explore this together!

Technology significantly enhances total task chaining in ABA therapy through various innovative approaches.
Experts agree on the transformative potential of technology in ABA therapy. Dr. Nancy Edwards beautifully states, 'ABA is a tool that can help turn autism from a challenge into an advantage.' This highlights how innovative strategies empower individuals on the spectrum. Technology in ABA not only supports skill development but also promotes independence, allowing children to thrive in various aspects of life.
As a helpful tip, parents can enroll to receive three complimentary activity boxes to enhance their teaching methods and streamline weekly planning. Let’s explore this together!

Total task chaining really stands out from other chaining methods in a few key ways:
In summary, while forward and backward sequences focus on specific steps, the total task chaining aba definition emphasizes holistic practice. This makes it a powerful tool for skill acquisition and keeping learners engaged. Let’s explore this together!

To deepen your understanding of total task chaining, let’s explore some valuable resources together:
Consider practical instances of activities that are perfect for complete integration, like setting the table, packing a backpack, or preparing a snack. For instance, when using backward reasoning for getting dressed, the first step is putting on the last piece of clothing, such as a shirt. These resources will equip you with the tools necessary to effectively apply the total task chaining ABA definition techniques in ABA therapy, empowering you and your family on the journey of autism care. We’re here to help you every step of the way!

Total task chaining is a game-changer in Applied Behavior Analysis (ABA), helping children with autism tackle complex activities in a holistic way. By teaching skills as complete actions, this approach not only boosts learning but also nurtures independence and confidence in young learners. Completing entire tasks gives them a wonderful sense of accomplishment, which is so important for motivation and ongoing engagement.
Throughout our discussion, we’ve seen the many benefits of total task chaining, like:
It’s crucial to personalize strategies to fit each child's unique needs, ensuring they get the support they require for optimal growth. Plus, incorporating technology into this method enhances data collection and makes learning experiences more enjoyable for both children and caregivers.
Given these insights, it’s essential for caregivers and practitioners to embrace the principles of total task chaining. By using these techniques, they can empower children with autism to navigate daily routines with more ease and confidence. Remember, learning isn’t just about picking up skills; it’s about fostering independence and self-worth. Engaging with total task chaining can lead to incredible transformations, making it a vital part of effective ABA therapy. Let’s explore this together and see how we can make a difference!
What is Rori Care - ABA Therapy known for?
Rori Care - ABA Therapy is known for pioneering total task chaining techniques, which make the educational journey for children with autism more enjoyable by breaking complex challenges into manageable steps.
How does total task chaining benefit children with autism?
Total task chaining helps children with autism by allowing them to complete entire activities in one go, which boosts their sense of accomplishment, motivation, and independence. It also simplifies the learning process and enhances their confidence.
What is the definition of total task chaining in ABA?
Total task chaining is an instructional strategy within Applied Behavior Analysis (ABA) that teaches complex skills as complete actions, allowing learners to engage with all stages of an activity and understand how each step connects.
What role do behavior analysts play in total task chaining?
Qualified behavior analysts design personalized plans that incorporate measurable goals and evidence-based strategies tailored to each child's unique needs, facilitating tracking of progress and ongoing evaluation.
What are the key benefits of total task chaining for children with Autism Spectrum Disorder (ASD)?
Key benefits include increased engagement, skill mastery, autonomy, generalization of skills, and positive reinforcement, all of which enhance learning and encourage independence.
How does total task chaining promote skill mastery?
By practicing all steps of an activity in each session, children solidify their learning, requiring fewer prompts over time and showcasing their growing independence in tasks.
In what ways does total task chaining encourage autonomy in children?
This method fosters self-sufficiency and confidence as children gradually master each step, building a solid skill base for more complex tasks.
How can caregivers support the effectiveness of total task chaining?
Caregivers can boost engagement and learning by reinforcing positive behaviors, providing consistent support, and applying reinforcement techniques at home to enrich their children's learning experience.
Can the skills learned through total task chaining be applied in different contexts?
Yes, the skills gained can be generalized and applied in various everyday tasks, helping children navigate different environments with ease.
Why is early ABA intervention important for children with autism?
Early ABA intervention taps into neuroplasticity during crucial developmental stages, leading to significant improvements in learning and skill acquisition.